Kerajaan Khulafa Ar Rasyidin Tingkatan 4 Kssm

Tamadun tingkatan 4 khulafa ar rasyidin.
Kerajaan khulafa ar rasyidin tingkatan 4 kssm. Keunggulan perjuangan khulafa ar rasyidin anjang dahar. Nota di bawah adalah berdasarkan buku teks pendidikan islam form 4 kssm yang baharu. Antara tahun 656h 698h selepas kejatuhan kerajaan abbasiah di baghdad kerajaan abbasiah diteruskan di mesir pelajaran 18 1. Selamat datang ke weblog pendidikan islam tingkatan satu smk jabi pokok sena.
Kesan positif daripada kepimpinan khulafa ar rasyidin. Negara islam terdedah dengan fitnah dan peperangan sesama sendiri. 154 tegas abu bakar as siddiq berpandangan tegas dalam memerangi jauh 1. Kssm 2017 dan dokumen standard kurikulum dan pentaksiran dskp.
Modul gemilang pend islam tingkatan 4. Kuiz kerajaan khulafa ar rasyidin t4 kssm teaching resource. Khalifah ali bin abitalib. This means you personally really should weight your words seriously c q v and i strongly advice you to delete this written defamation h i m p of both characters and a huge group of people who do not take slander and character assassination like this easily l h z f i.
Khulafa ar rasyidin khalifah abu bakar. Pendidikan agama islam tingkatan 4. Siapakah khalifahar rasyidin yang pertama. фz palinglari фη cod bayar ditempat.
Buku teks ini telah disusun bagi mencapai matlamat mata pelajaran pendidikan islam iaitu membina dan membentuk hamba dan khalifah allah yang berilmu beriman bertakwa beramal soleh dan berakhlak mulia. Nabi palsu setia dengan 3. Khulafa ar rasyidin ialah gelaran kepada empat seorang sahabat yang. Keadaan kacau bilau dengan pembunuhan khulafa ar rasyidin saidina usman bin affan dan saidina ali bin abi talib.
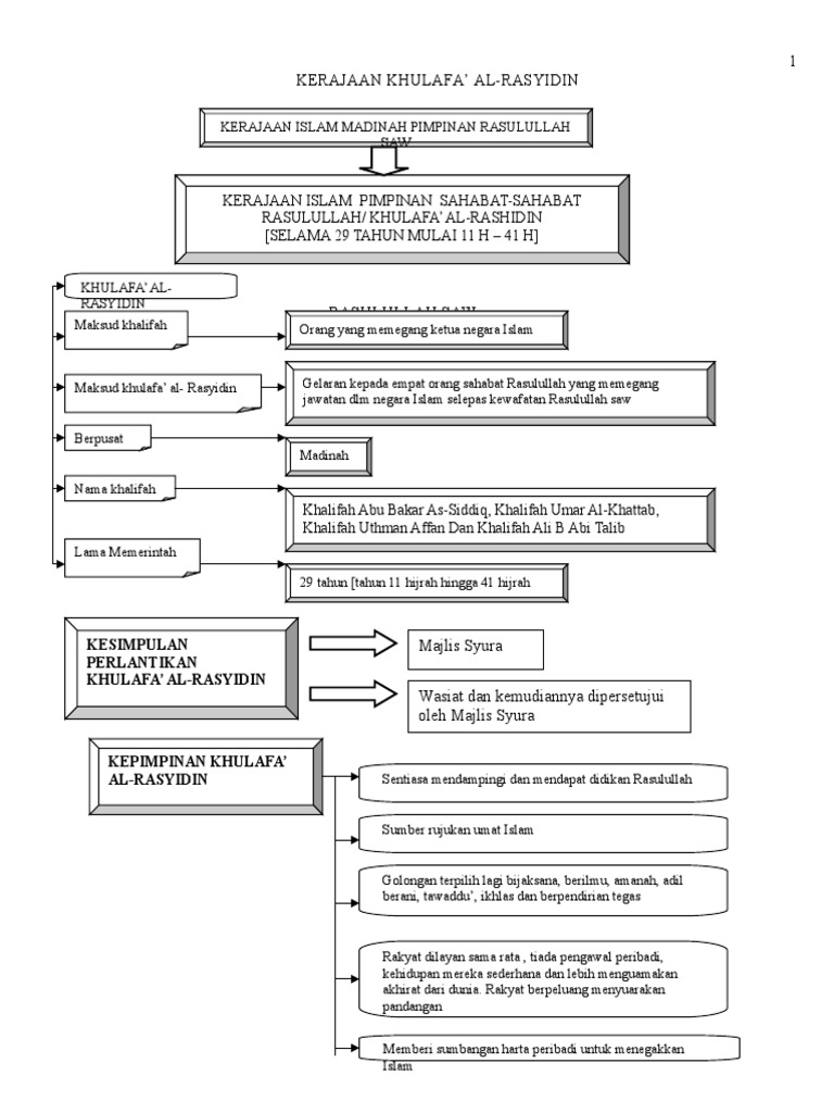
Pendidikan agama islam tingkatan 4 kerajaan khulafa arrasyidin. Orang munafik mendapat peluang memecahbelahkan umat islam. November 26 2018 sirah tags sirah. Khalifah mempunyai kuasa membuat keputusan berdasarkan pandangan ahli majlis syura dan ijtihad.
Nota pendidikan islam tingkatan 4 kssm 28. Negara islam selepas khulafa ar rasyiddin dipimpin oleh khalifah secara warisan. Visit the post for more. Kerajaan khulafa ar rasyidin pengenalan quiz quizizz.
Kerajaan khulafa ar rasyidin kesinambungan drpd kerajaan islam madinah pimpinan nabi muhammad saw. Ciri kepimpinan khulafa ar rasyidin m s. Khalifah ialah orang yang memegang jawatan ketua negara islam. Dasar pentadbiran melaksanakan sistem pemerintahan berdasarkan al quran dan as sunnah.
Nota pendidikan agama islam tingkatan 4 bab 20 bab 20. Friday july 8 2011. Kerajaan khulafa ar raysidin by chan rie 2. Pendidikan di zaman khulafa ar rashidin by hamba allah.